
【研究背景及內容簡介】硫化物固態電池由于高安全性和高能量/功率密度受到廣泛關注。但是目前高能量密度的鋰金屬負極面臨著枝晶生長和界面反應,難以同時實現高負載電池在高電流密度下的穩定長循環。硅負極由于具有低成本、高比容量(3579 mAh g-1)以及合適的嵌鋰電位(0.4 V),可以緩解枝晶生長和界面副反應,同時實現高能量密度,因而受到了廣泛的關注。全硅負極(SE-free Si anode)已經被證明可以在固態全電池中穩定循環,由于其減少了電解質的添加,可以進一步發揮硅負極的能量密度優勢,同時與傳統硅負極的產線兼容。但是目前對全硅負極的嵌鋰和性能衰減機制、以及有效改性手段的研究還比較有限。
基于此,中科院物理所吳凡團隊對全硅負極和鋰硅合金負極展開了系統研究,揭示了全硅負極用于全固態電池的脫嵌鋰及性能衰減機制,并在此基礎上開發出了一種新型硬碳穩定化鋰硅合金負極,大幅提升了電極動力學和結構穩定性,使用該新型硬碳穩定化鋰硅合金負極和NMC811正極組裝硫化物全電池,可以在6.2 mAh/cm2的高面容量下實現25C(155.25 mA/cm2)高倍率(高電流密度)循環; 最高實測面容量可達16.92 mAh/cm2;在5.86 mAh cm-2的高面容量和5.86 mA cm-2的高電流密度下可循環5000周以上;應用LCO正極的硫化物全固態電池, 可以在1.43 mAh/cm2的面容量下實現50C(71.5 mA/cm2)的高倍率(高電流密度)循環,并在0.7mAh/cm2 的面容量、20C (14.64 mA/cm2) 高倍率(高電流密度)下實現30000圈超長循環、在30C (20.45 mA/cm2) 高倍率(高電流密度)下實現15000圈長循環。以上面容量、電流密度、倍率及循環性能都是目前已報道的全固態電池電化學性能最高值。該成果以“Hard-Carbon-Stabilized Li-Si Anodes for high-performance All-Solid-State Li-ion Batteries”為題發表于Nature Energy (IF=67.439),第一作者為中科院物理所碩士閆汶琳。
【主要內容】Si的邊界融合反應

圖1|Si負極和Li-Si合金負極的電化學性能以及切面SEM圖
不含電解質的微米硅負極可以應用于固態電池。由于硅顆粒的邊界融合反應,使得硅顆粒在首周循環之后形成連續的無定形硅薄膜,降低電極彎曲度,同時其中的鋰捕獲可以進一步提升電極反應動力學。無論硅顆粒的原始形貌如何,循環之后電極都將形成類似無定形硅薄膜的形態,在后續循環中保持單相反應。
循環之后,電極中出現了類似硅薄膜的縱向裂紋,似乎對電極縱向的離子和電子輸運影響不大。而電極電解質界面觀察到明顯的橫向裂紋,這是由于硅脫嵌鋰過程巨大的體積變化,導致界面的應力集中,從而產生裂紋。可以預見,電極和集流體之間也存在類似的裂紋。由于機械失配產生的裂紋可能是硅負極性能衰減的一大原因。
鋰硅合金可以提升含硅負極的結構穩定性和電極反應動力學。硅的鋰化也驅使硅顆粒的邊界融合反應。在電池組裝過程中,硅層和鋰箔原位反應生成主要含Li15Si4的鋰硅合金負極。由于鋰硅合金相較于晶體硅硬度降低,易發生形變,在外加壓力的作用下,預先釋放了由于Si嵌鋰體積膨脹產生的應力。所以鋰硅合金負極表現了連續致密的形貌,且與電解質界面接觸緊密,循環后表現了比Si負極更少的裂紋,并且鋰硅合金的電子電導率和鋰擴散系數相較于純硅都有明顯的提升。用鋰硅合金負極匹配6mAh cm-2 的NMC811正極在6mA cm-2的電流密度下循環,可以發揮3.6 mAh cm-2的面容量,且循環27周容量幾乎沒有衰減,但是發生了微短路。
硬碳穩定鋰硅合金負極

圖2|硬碳穩定鋰硅合金負極電化學性能以及相場模擬結果
為了發揮鋰硅合金負極在大電流密度下的高容量和穩定循環,我們引入硬碳來解決微短路的問題。隨著硬碳比例提升,電極的鋰擴散系數提高,電極厚度增加(控制電極容量一致)。綜合分析充放電曲線和非原位XRD,硬碳穩定化鋰硅合金負極的嵌鋰機制為:先發生硅的滿嵌,然后是硬碳的滿嵌,最后是鋰的析出。而鋰的析出過程可能導致枝晶生長。根據相場模擬的結果,當Si/HC的質量比≥6:4時,電極和電解質界面開始出現鋰枝晶,且鋰枝晶的長度隨著Si的含量增加而增加,這與電極切面SEM的結果一致,所以NMC811|LiSH64、NMC811|LiSH82、NMC811|LiSi全電池在高倍率循環后都出現了微短路。而當Si/HC≤2:8時,由于電極過厚和HC引入的過量缺陷,使得大量鋰被捕獲在電極內部難以脫出,使得全電池容量快速衰減到較低水平。當Si/HC質量比為4:6時,全電池在大電流下穩定循環,沒有發生微短路。

圖3|不同類型碳材料對鋰硅合金負極的影響
將LiSH46負極中的硬碳替換為軟碳(LiSS46)和石墨(LiSG46),組裝硫化物全固態電池,在大電流下仍然發生了微短路,且LiSG46的全固態電池循環表現了較低的容量。LiSH46負極中,硬碳具有相較于石墨和軟碳更大的無序度、層間距和比表面積,為鋰析出提供了大量位點。另外由于硬碳接近0V的嵌鋰平臺以及更高的鋰擴散系數,誘導鋰遷移進入電極內部,并從硬碳的表面均勻析出。所以硬碳可以更有效地抑制鋰硅合金鋰沉積過程的枝晶生長。

圖4|硬碳穩定化鋰硅合金負極組裝全電池進行倍率測試
硬碳穩定化鋰硅合金負極組裝全固態電池,可以實現優異的倍率性能。匹配6.48 mAh cm-2的NMC811正極,可以在12.96 mA cm-2的電流密度下充放電,不發生明顯的微短路。匹配1.43 mAh cm-2的LCO正極,可以在71.5 mA cm-2的電流密度下充放電,不發生明顯的微短路。

圖5|硬碳穩定化鋰硅合金負極組裝全電池進行循環測試
硬碳穩定化鋰硅合金負極組裝硫化物全固態電池,可以實現優異的長循環性能。匹配5.86 mAh cm-2的NMC811正極,可以在5.86 mA cm-2 (1 C)下循環,首周可逆容量達3.6 mAh cm-2,循環壽命為1033圈,在循環3000(5000)圈后容量保持70%(61.5%)。匹配0.73 mAh cm-2的LCO正極,可以在14.64 mA cm-2 (20 C)和20.45 mA cm-2 (30 C)下循環30000周和15000周,容量分別保持72.1%和80%。

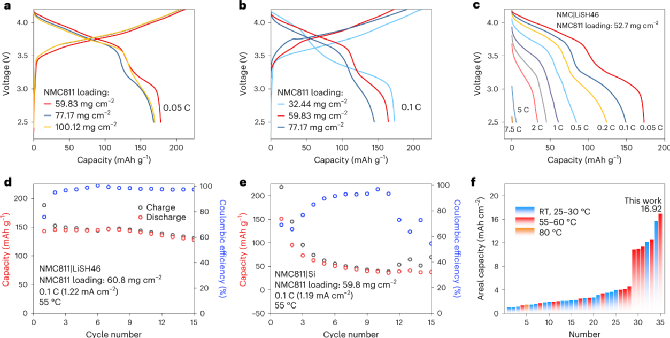
圖6|硬碳穩定化Li-Si合金負極組裝高負載電池
硬碳穩定化鋰硅合金負極組裝硫化物全固態電池,可以實現高負載全固態電池。LiSH46負極可以起到保護層的作用。使用12 mAh cm-2的LiSH46負極,可以匹配20 mAh cm-2的NMC811正極充放電,不發生明顯的微短路,此時,電池層面的能量密度為263 Wh kg-1,而電解質層為80 mg的粉餅,如果使用電解質薄膜將進一步提升電池的能量密度。
硬碳穩定化鋰硅合金負極匹配6mAh cm-2的NMC811正極制備的硫化物全固態電池可以在5-75 ℃的溫度范圍內工作。匹配1.5 mAh cm-2 LCO正極制備的軟包電池可以發揮1.44 mAh cm-2的可逆容量,循環壽命為21周。

圖7|硬碳穩定化Li-Si合金負極LiSH46的XRD、XPS、俄歇及SEM表征
通過XRD、XPS、AES和截面SEM對LiSH46負極進行進一步表征,由于Si的邊界融合反應,Si和硬碳都失去了原始的規則形貌,形成了交聯結構。電極含有Li15Si4和LiC6富鋰相構成導電網絡,增大了電極活性面積。且由于富鋰相的易形變特性,使得電極結構穩定性提升。如截面SEM顯示,電極循環前后厚度變化不大,且裂紋數量明顯少于Si負極。
【總結與展望】

圖8|Si負極、Li-Si負極和硬碳穩定Li-Si合金負極的鋰沉積機制原理示意圖
1)將全硅負極(負極中不添加電解質)用于全固態電池,硅顆粒發生邊界融合,在首次循環后形成連續的無定形硅,加上少量鋰捕獲,可以使電極動力學提升,實現后續的穩定可逆循環。低成本的微米硅可能在固態體系中實現應用。全硅負極的生產可以沿用傳統的產線。由于硅體積變化與固態電解質(集流體)機械失配,產生應力集中從而產生裂紋,是全硅負極性能衰減的一大原因。
2)鋰硅合金負極相較于純硅,電子電導率和鋰傳輸性能都有顯著提升,且易形變,電極結構穩定性也有提升,但是面臨著枝晶生長的問題。
3)硬碳由于其豐富的缺陷、無序結構以及接近0V的嵌鋰平臺,可以有效穩定鋰硅合金負極,緩解微短路的發生。硬碳穩定化鋰硅合金負極由富鋰相(Li15Si4和LiC6)構成三維導鋰導電子網絡,擴大了電極活性面積,提升了電極動力學和結構穩定性。所以硬碳穩定化鋰硅合金負極可以實現硫化物全固態電池的高負載、高倍率以及穩定長循環。
課題組2022-2023論文
https://www.x-mol.com/groups/wu_fan/publications
1.Hard-Carbon-Stabilized Li-Si Anodes for high-performance All-Solid-State Li-ion Batteries. W. Yan, Z Mu, Z. Wang, Y. Huang, D. Wu, P. Lu, J. Lu, J. Xu, Y. Wu, T. Ma, M. Yang, X. Zhu, Y. Xia, S. Shi, L. Chen, H. Li, F. Wu*. Nature Energy (IF=67.439) 2023, https://doi.org/10.1038/s41560-023-01279-8
2.High-Areal-Capacity and Long-Cycle-Life All-Solid-State Battery Enabled By Freeze Drying Technology. T. Ma, Z. Wang, D. Wu, P. Lu, X. Zhu, M. Yang, J. Peng, L. Chen, H. Li, F. Wu*. Energy & Environmental Science (IF=40) 2023, 16, 2142 - 2152.
3.High-Capacity, Long-Life Iron Fluoride All-Solid-State Lithium Battery with Sulfide Solid Electrolyte. J. Peng ,X. Wang, L. Chen, H. Li, F. Wu*. Advanced Energy Materials (IF=29.698), 2023, 2300706.
4.Tuning discharge voltage by Schottky electron barrier in P2-Na2/3Mg0.205Ni0.1Fe0.05Mn0.645O2. Y. Wang, Z. Shadike, W. Fitzhugh, F. Wu, S. Lee, J. Lee, X. Chen, Y. Long, E. Hu, X. Li*. Energy Storage Materials, 2023, 55, 587-596
5.High-Safety, Wide-Temperature-Range, Low-External-Pressure and Dendrite-Free Lithium Battery with Sulfide Solid Electrolyte. J. Peng, D. Wu, P. Lu, Z. Wang, Y. Du, Y. Wu, Y. Wu, W. Yan, J. Wang, H. Li, L. Chen & F. Wu*. Energy Storage Materials (IF=20.831) 2023, 54: 430-439.
6.Anode Interfacial Issues in Solid-State Li Batteries: Mechanistic Understanding and Mitigating Strategies. J. Wang, L. Chen, H. Li, F. Wu*. Energy & Environmental Materials (IF=15.122), 2023, 0, e12613
7.Fast Charge Storage Kinetics by Surface Engineering for Ni-Rich Layered Oxide Cathode. J. Wang, Z. Zhang, W. He, Z. Wang, S. Weng, Q. Li, X. Wang, S. Barg, L. Chen, H. Li, F. Wu*. Journal of Materials Chemistry A (IF=14.511), 2023, 11, 10239 - 10253.
8.High-Capacity Sulfide All-Solid-State Lithium battery with Conversion-type Iron Fluoride Cathode. X. Wang, Z. Wang, L. Chen, H. Li, F. Wu*. Journal of Materials Chemistry A (IF=14.511), 2023, in press.
9.Toward Better Batteries: Solid-State Battery Roadmap 2035+. D. Wu, F. Wu*.eTransportation, (IF=13.661), 2023,16,100224.
10.Long-life High-capacity Lithium Battery with Liquid Organic Cathode and Sulfide Solid Electrolyte. J. Peng, D. Wu, H. Li, L. Chen & F. Wu* Battery Energy, 2023, 20220059.
11.Application of liquid metal electrodes in electrochemical energy storage. J. Peng, H. Li, L. Chen & F. Wu*. Precision Chemistry, 2023, in press.
12.Solid state ionics - selected topics and new directions. F. Wu, L. Liu, S. Wang, J. Xu, P. Lu, W. Yan, J. Peng, D. Wu, H. Li* Progress in Materials Science (IF=48.165), 2022, 126,100921.
13.Progress in Solvent-Free Dry-Film Technology for Batteries and Supercapacitors. Y. Li, Y. Wu, Z. Wang, J. Xu, T. Ma, L. Chen, H. Li*, F. Wu*. Materials Today (IF=31.041), 2022, 55,92-109.
14.Long-Life Lithium-Metal All-Solid-State Batteries and Stable Li Plating Enabled by In-situ Formation of Li3PS4 in SEI Layer. J. Xu, J. Li, Y. Li, M. Yang, L. Chen, H. Li, F. Wu*. Advanced Materials (IF=32.086), 2022, 2203281.
15.Long-life Sulfide All-solid-state Battery Enabled by Substrate-Modulated Dry-Process Binder. Y. Li, Y. Wu, T. Ma, Z. Wang, Q. Gao, J. Xu, L. Chen, H. Li, F. Wu*. Advanced Energy Materials (IF=29.698), 2022, 01732.
16.Air Stability of Sulfide Solid-state Batteries and Electrolytes. P. Lu#, D. Wu#, L. Chen, H. Li*, F. Wu*. Electrochemical Energy Reviews (IF=30.01), 2022, 5:3.
17.Improving Thermal Stability of Sulfide Solid Electrolytes: An Intrinsic Theoretical Paradigm. S. Wang, Y. Wu, H. Li, L. Chen, F. Wu*. Infomat (IF=25.405) 2022, 212316.
18.Wide-temperature, Long-cycling, and High-loading Pyrite All-solid-state Batteries Enabled by Argyrodite Thioarsenate Superionic Conductor. P. Lu, Y. Xia, G. Sun, S. Shi, Z. Sha, L. Chen, H. Li, F. Wu*. Advanced Functional Materials(IF=19.924), 2022, 2211211.
19.Thermal Stability between Sulfide Solid Electrolytes and Oxide Cathode. S. Wang, Y. Wu, T. Ma, L. Chen, H. Li,F. Wu*. ACS Nano(IF=18.9), 2022, 16, 10, 16158–16176.
20.Interfacial and Cycle Stability of Sulfide All-Solid-State Batteries with Ni-Rich Layered Oxide Cathodes. J. Wang, Z. Zhang, J. Han, X. Wang, L. Chen, H. Li, F. Wu*. Nano Energy (IF=17.881), 2022, 107528.
21.Doping Strategy and Mechanism for Oxide and Sulfide Solid Electrolytes with High Ionic Conductivity. Y. Wang, Y. Wu, Z. Wang, L. Chen, H. Li*, F. Wu*. Journal of Materials Chemistry A (IF=12.732) 2022, 10, 4517 - 4532.
22.Recent Progress of Solid-Sstate Lithium Batteries in China. D. Wu, L. Chen, H. Li, F. Wu*. Applied Physics Letters, 2022,121, 120502.
23.Air/water Stability Problems and Solutions for Lithium Batteries. M. Yang, L. Chen, H. Li*, F. Wu*. Energy Materials Advances, 2022, 9842651.
24.Stable Ni-rich layered oxide cathode for sulfide all-solid-state lithium battery. Y. Wang, Z. Wang, D. Wu, Q. Niu, P. Lu, T. Ma, Y. Su, L. Chen, H. Li, F. Wu*. eScience, 2022, 2, 537-545.
25.Progress in Lithium Thioborate Superionic Conductors. X. Zhu, Z. Zhang, L. Chen, H. Li. F. Wu*. Journal of Materials Research (invited paper), 2022, 37, 3269–3282.
26.Liquid-phase Synthesis of Li2S and Li3PS4 with Lithium-based Organic Solutions. J. Xu, Q. Wang, W. Yan, L. Chen, H. Li. F. Wu*. Chinese Physics B, 2022, 31,098203.
【作者及團隊介紹】第一作者:閆汶琳:女,中科院物理所吳凡團隊碩士畢業生,研究方向為應用于硫化物全固態電池的負極材料。
合作作者:陳立泉:中科院物理所博士生導師。中國工程院院士。北京星恒電源股份有限公司技術總監。曾任亞洲固體離子學會副主席,中國材料研究學會副理事長,2004年至今任中國硅酸鹽學會副理事長。主要從事鋰電池及相關材料研究,在中國首先研制成功鋰離子電池,解決了鋰離子電池規模化生產的科學、技術與工程問題,實現了鋰離子電池的產業化。近年來,開展了全固態鋰電池、鋰硫電池、鋰空氣電池、室溫鈉離子電池等研究,為開發下一代動力電池和儲能電池奠定了基礎。曾獲國家自然科學獎一等獎、中科院科技進步獎特等獎和二等獎,2007年獲國際電池材料協會終身成就獎。2001年當選為中國工程院院士。
李泓:中國科學院物理研究所研究員,博士生導師。主要研究方向為高能量密度鯉離子電池、固態鯉電池、電池失效分析、固態離子學。提出和發展了高容量納米硅碳負極材料,基于原位固態化技術的混合固液電解質高能量密度鯉離子電池及全固態電池等。發表了470余篇學術論文,引用47000次,授權70余項發明專利,H因子115。國家重大人才工程B類專家,榮獲國家杰出青年科學基金資助。目前是科技部和工信部+四五儲能和智能電網重點專項實施方案與指南編寫組的總體組組長,國家新能源汽車創新中心學術委員會委員。國際固態離子學會、國際鯉電池會議、國際儲能聯盟科學執委會成員。圍繞固態電池,推動孵化成立了多家企業。
通訊作者:吳凡:中科院物理所博導、共青團常州市委副書記。入選國家級人才計劃、江蘇省杰出青年基金。獲全國青年崗位能手(共青團中央);全國未來儲能技術挑戰賽一等獎;全國先進儲能技術創新挑戰賽二等獎(國家工信部);江蘇青年五四獎章等榮譽。中科院物理所吳凡團隊誠聘兩位博士后、工程師。歡迎報考/加入課題組(https://www.x-mol.com/groups/wu_fan/people/8037 )。來信請聯系:fwu@iphy.ac.cn